Opiumwet Laatste controle 18-04-2026, laatste wijziging 11-04-2026 (Bron: wetten.overheid.nl).

Inhoud

Artikel 1

  1. In deze wet en de daarop berustende bepalingen wordt verstaan onder:

    1. Onze Minister: Onze Minister van Volksgezondheid, Welzijn en Sport;

    2. substantie: stof van menselijke, dierlijke, plantaardige of chemische oorsprong, daaronder begrepen dieren, planten, delen van dieren of planten, alsmede micro-organismen;

    3. preparaat: een vast of vloeibaar mengsel van substanties;

    4. middel: substantie of preparaat;

    5. Enkelvoudig Verdrag: het op 30 maart 1961 te New York tot stand gekomen Enkelvoudig Verdrag inzake verdovende middelen (Trb. 1963, 81), zoals gewijzigd bij het op 25 maart 1972 te Genève tot stand gekomen Protocol tot wijziging van dat verdrag (Trb. 1987, 90);

    6. Psychotrope Stoffen Verdrag: het op 21 februari 1971 te Wenen tot stand gekomen Verdrag inzake psychotrope stoffen (Trb. 1989, 129);

    7. Kaderbesluit 2004/757/JBZ: Kaderbesluit 2004/757/JBZ van de Raad van 25 oktober 2004 betreffende de vaststelling van minimumvoorschriften met betrekking tot de bestanddelen van strafbare feiten en met betrekking tot straffen op het gebied van de illegale drugshandel (PbEU 2004, nr. L 335), zoals laatstelijk gewijzigd bij Richtlijn (EU) 2017/2103 van het Europees Parlement en de Raad van 15 november 2017 tot wijziging van het Kaderbesluit 2004/757/JBZ van de Raad teneinde psychoactieve stoffen in de definitie van «drug» op te nemen en tot intrekking van Besluit 2005/387/JBZ van de Raad;

    8. Besluit 2005/387/JBZ: Besluit 2005/387/JBZ van de Raad van 10 mei 2005 inzake de uitwisseling van informatie, de risicobeoordeling en de controle ten aanzien van nieuwe psychoactieve stoffen (PbEU 2005, L 127);

    9. Verdrag tegen sluikhandel: het op 20 december 1988 tot stand gekomen Verdrag van de Verenigde Naties tegen de sluikhandel in verdovende middelen en psychotrope stoffen (Trb. 1989, 97);

    10. Verdrag ter uitvoering van artikel 17 van het Verdrag tegen sluikhandel: het op 31 januari 1995 te Straatsburg tot stand gekomen Verdrag inzake de sluikhandel over zee, ter uitvoering van artikel 17 van het Verdrag van de Verenigde Naties tegen de sluikhandel in verdovende middelen en psychotrope stoffen (Trb. 2010, 165 en 239);

    11. stofgroep: groep van substanties die afgeleid is van eenzelfde structuur.

  2. Voor toepassing van deze wet en de daarop berustende bepalingen worden de zouten van de substanties met die substanties gelijkgesteld.

  3. Voor de toepassing van deze wet wordt onder vervaardigen begrepen raffineren en omzetten.

  4. Onder binnen het grondgebied van Nederland brengen van middelen, bedoeld in de artikelen 2, 2a, eerste lid, en 3, is begrepen: het binnen het grondgebied van Nederland brengen van de voorwerpen of goederen, waarin die middelen verpakt of geborgen zijn en elke op het verder vervoer, de opslag, de aflevering, ontvangst of overdracht gerichte handeling, met betrekking tot die middelen, die binnen het grondgebied van Nederland zijn gebracht, of tot de voorwerpen of goederen, waarin die middelen verpakt of geborgen zijn.

  5. Onder buiten het grondgebied van Nederland brengen van middelen, bedoeld in de artikelen 2, 2a, eerste lid, en 3, is begrepen: het buiten het grondgebied van Nederland brengen van de voorwerpen of goederen, waarin die middelen verpakt of geborgen zijn en het met bestemming naar het buitenland vervoeren, ten vervoer aannemen of ten vervoer aanbieden, het ten uitvoer dan wel ten wederuitvoer aangeven, daaronder begrepen het doen van een summiere aangifte bij uitgaan of het in kennis stellen van de wederuitvoer, in de zin van Verordening (EU) nr. 952/2013 van het Europees Parlement en van de Raad van 9 oktober 2013 tot vaststelling van het douanewetboek van de Unie (PbEU 2013, L 269) of het in, op of aan een naar het buitenland bestemd vaar-, voer- of luchtvaartuig aanwezig hebben van die middelen, of van die voorwerpen of goederen.

Artikel 2 (Harddrugs)

Het is verboden een middel als bedoeld in de bij deze wet behorende lijst I dan wel aangewezen krachtens artikel 3a, vijfde lid:

  1. binnen of buiten het grondgebied van Nederland te brengen;

  2. te telen, te bereiden, te bewerken, te verwerken, te verkopen, af te leveren, te verstrekken of te vervoeren;

  3. aanwezig te hebben;

  4. te vervaardigen.

Artikel 2a

  1. Het is verboden een substantie die deel uitmaakt van een stofgroep als bedoeld in de bij deze wet behorende lijst IA of een preparaat daarvan:

    1. binnen of buiten het grondgebied van Nederland te brengen;

    2. te bereiden, te bewerken, te verwerken, te verkopen, af te leveren, te verstrekken of te vervoeren;

    3. aanwezig te hebben;

    4. te vervaardigen.

  2. Het verbod in het eerste lid is niet van toepassing op:

    1. een geneesmiddel waarvoor een handelsvergunning is verleend als bedoeld in artikel 40, eerste lid, van de Geneesmiddelenwet, of een geneesmiddel als bedoeld in artikel 40, derde lid, van die wet;

    2. een fabrikant als bedoeld in artikel 1, eerste lid, onderdeel mm, van de Geneesmiddelenwet of een groothandelaar als bedoeld in artikel 1, eerste lid, onderdeel nn, van die wet;

    3. een fabrikant of groothandelaar van werkzame stoffen die is geregistreerd als bedoeld in artikel 38 van de Geneesmiddelenwet;

    4. een apotheker of huisarts die geneesmiddelen bereidt als bedoeld in artikel 40, derde lid, onder a, van de Geneesmiddelenwet;

    5. een diergeneesmiddel waarvoor een vergunning is verleend voor het in de handel brengen krachtens artikel 2.19 van de Wet dieren;

    6. een fabrikant aan wie krachtens artikel 2.19 van de Wet dieren een vergunning is verleend voor het vervaardigen van diergeneesmiddelen;

    7. een groothandel aan wie krachtens artikel 2.19 van de Wet dieren een vergunning is verleend voor de handel van diergeneesmiddelen;

    8. een geregistreerde stof genoemd in Bijlage I bij Verordening (EG) nr. 273/2004 van het Europees Parlement en de Raad van 11 februari 2004 inzake drugsprecursoren (PbEU 2004, L 47);

    9. een geregistreerde stof genoemd in de Bijlage bij Verordening (EG) nr. 111/2005 van de Raad van 22 december 2004 houdende voorschriften voor het toezicht op de handel tussen de Gemeenschap en derde landen in drugsprecursoren (PbEU 2005, L 22); of

    10. een middel als bedoeld in de artikelen 2 en 3.

  3. Een wijziging van Bijlage I bij Verordening (EG) nr. 273/2004 van het Europees Parlement en de Raad van 11 februari 2004 inzake drugsprecursoren (PbEU 2004, L 47) of de Bijlage bij Verordening (EG) nr. 111/2005 van de Raad van 22 december 2004 houdende voorschriften voor het toezicht op de handel tussen de Gemeenschap en derde landen in drugsprecursoren (PbEU 2005, L 22) gaat voor toepassing van dit artikel gelden met ingang van de dag waarop aan de betrokken wijziging uitvoering moet zijn gegeven.

Artikel 3

Het is verboden een middel als bedoeld in de bij deze wet behorende lijst II dan wel aangewezen krachtens artikel 3a, vijfde lid:

  1. binnen of buiten het grondgebied van Nederland te brengen;

  2. te telen, te bereiden, te bewerken, te verwerken, te verkopen, af te leveren, te verstrekken of te vervoeren;

  3. aanwezig te hebben;

  4. te vervaardigen.

Artikel 3a

  1. Bij algemene maatregel van bestuur worden aan de bij deze wet behorende lijst I of lijst II middelen toegevoegd indien deze onder de werking van het Enkelvoudig Verdrag of het Psychotrope Stoffen Verdrag worden gebracht of uit hoofde van de uit het Kaderbesluit 2004/757/JBZ of het Besluit 2005/387/JBZ voortvloeiende verplichting onder de werking van deze wet dienen te worden gebracht. Bij algemene maatregel van bestuur kunnen van lijst I of II middelen worden geschrapt indien deze aan de werking van de in de eerste volzin bedoelde verdragen worden onttrokken dan wel indien de in die volzin bedoelde verplichting uit hoofde van het Kaderbesluit 2004/757/JBZ of het Besluit 2005/387/JBZ komt te vervallen.

  2. Bij algemene maatregel van bestuur kunnen aan lijst I of lijst II middelen worden toegevoegd indien is gebleken dat deze het bewustzijn van de mens beïnvloeden en bij gebruik door de mens kunnen leiden tot schade aan zijn gezondheid en schade voor de samenleving.

  3. Bij algemene maatregel van bestuur worden middelen die krachtens het tweede lid zijn toegevoegd, van lijst I of lijst II geschrapt indien is gebleken dat zij de in het tweede lid bedoelde eigenschappen niet of niet meer bezitten.

  4. Een algemene maatregel van bestuur als bedoeld in het eerste, tweede en derde lid, wordt niet vastgesteld dan nadat vier weken zijn verstreken nadat het ontwerp van de maatregel is overgelegd aan de beide Kamers der Staten-Generaal en binnen die termijn niet door of namens een van beide Kamers de wens te kennen wordt gegeven dat het in het ontwerp van de maatregel geregelde onderwerp wordt geregeld bij wet.

  5. Indien naar het oordeel van Onze Minister handelingen als bedoeld in artikel 2 of 3 ten aanzien van een middel onverwijld moeten worden verboden en de totstandkoming van een algemene maatregel van bestuur als bedoeld in het eerste of tweede lid niet kan worden afgewacht, kan het middel daartoe bij ministeriële regeling worden aangewezen. Onze Minister draagt ervoor zorg dat tegelijk met de vaststelling van deze ministeriële regeling het ontwerp van een algemene maatregel van bestuur met dezelfde inhoud ter beoordeling aan de ministerraad wordt aangeboden. De ministeriële regeling blijft, behoudens eerdere intrekking, van kracht totdat de algemene maatregel van bestuur waarbij het betreffende middel wordt aangewezen in werking treedt, doch uiterlijk tot een jaar na het inwerkingtreden van de regeling.

Artikel 3aa

  1. Bij algemene maatregel van bestuur kan aan de bij deze wet behorende lijst IA een stofgroep worden toegevoegd indien twee of meer substanties die deel uitmaken van die stofgroep zijn of worden toegevoegd aan de bij deze wet behorende lijst I.

  2. Bij algemene maatregel van bestuur kunnen stofgroepen die bij of krachtens deze wet zijn toegevoegd, van lijst IA worden geschrapt indien substanties die deel uitmaken van die stofgroep zijn of worden geschrapt van lijst I.

  3. Bij algemene maatregel van bestuur wordt een stofgroep die bij of krachtens deze wet is toegevoegd, van lijst IA geschrapt indien substanties die deel uitmaken van die stofgroep zijn of worden geschrapt van lijst I en daardoor niet langer twee of meer substanties die deel uitmaken van die stofgroep zijn of worden toegevoegd aan lijst I.

  4. De voordracht voor een krachtens het eerste lid vast te stellen algemene maatregel van bestuur wordt niet eerder gedaan dan vier weken nadat het ontwerp aan de beide Kamers der Staten-Generaal is overgelegd.

Artikel 3b

  1. Elke openbaarmaking, welke er kennelijk op is gericht de verkoop, aflevering of verstrekking van een middel als bedoeld in de artikelen 2, 2a, eerste lid, of 3, te bevorderen, is verboden.

  2. Het in het eerste lid vervatte verbod geldt niet ter zake van openbaarmaking in het kader van medische of wetenschappelijke voorlichting.

Artikel 3c

  1. Bij algemene maatregel van bestuur kunnen middelen en toepassingen worden aangewezen waarvoor een in de artikelen 2, 2a, eerste lid, of 3 omschreven verbod geheel of ten dele niet geldt.

  2. Bij algemene maatregel van bestuur kunnen met betrekking tot middelen als bedoeld in lijst I of II regels worden gesteld om naleving van de bepalingen van het Enkelvoudig Verdrag of het Psychotrope Stoffen Verdrag te verzekeren of om misbruik van die middelen te voorkomen.

Artikel 4

  1. Het is verboden een middel als bedoeld in lijst I of II voor te schrijven op recept, tenzij het middel daartoe, in het belang van de volksgezondheid, is aangewezen bij algemene maatregel van bestuur. Bij de maatregel kunnen voorschriften worden gesteld ter zake van het recept en het doel waarvoor een middel wordt voorgeschreven.

    Een krachtens de eerste volzin vastgestelde algemene maatregel van bestuur treedt niet eerder in werking dan acht weken na de datum van uitgifte van het Staatsblad waarin hij is geplaatst.

    Van de plaatsing wordt onverwijld mededeling gedaan aan de beide kamers der Staten-Generaal. In het belang van de volksgezondheid kan, in afwijking van de eerste volzin, bij ministeriële regeling een middel worden aangewezen dat mag worden voorgeschreven op recept, zolang het middel tevens is aangewezen krachtens artikel 3a, vijfde lid.

  2. Het bestellen van een middel als bedoeld in lijst I of II, door:

    1. beroepsbeoefenaren als bedoeld in artikel 5, eerste lid,

    2. instellingen en personen als bedoeld in artikel 5, tweede lid en derde lid, en

    3. houders van een ontheffing als bedoeld in artikel 6,

    geschiedt met inachtneming van bij ministeriële regeling vastgestelde voorschriften.

  3. Het is verboden ter verkrijging van enig middel, in lijst I en II bedoeld:

    1. een vals of vervalst recept aan te bieden;

    2. een recept aan te bieden, waarin een andere naam of een ander adres is vermeld dan de naam of het adres van degene te wiens behoeve het recept is voorgeschreven.

Artikel 5

  1. Bij algemene maatregel van bestuur worden voorschriften gesteld ter zake van het afleveren van krachtens artikel 4 aangewezen middelen. Onverminderd deze algemene maatregel van bestuur, is het verbod op het bereiden, bewerken, verwerken, verkopen, afleveren, verstrekken, vervoeren of aanwezig hebben van een middel bedoeld in lijst I of II, niet van toepassing op:

    1. apothekers en apotheekhoudende artsen indien zij krachtens artikel 4, eerste lid, aangewezen middelen voor geneeskundige doeleinden bereiden, bewerken, verwerken, verkopen, afleveren, verstrekken, vervoeren of aanwezig hebben en deze werkzaamheden geschieden binnen de normale beroepsuitoefening;

    2. dierenartsen, indien zij de krachtens artikel 4 aangewezen middelen voor diergeneeskundige doeleinden verkopen, afleveren, verstrekken, vervoeren of aanwezig hebben.

  2. De verboden inzake het verstrekken, vervoeren of aanwezig hebben van middelen als bedoeld in lijst I of II, zijn voorts niet van toepassing op daartoe bij algemene maatregel van bestuur aangewezen instellingen en op hen die de desbetreffende middelen in de aanwezige hoeveelheid tot uitoefening van de geneeskunst, de tandheelkunde of de diergeneeskunde, dan wel voor eigen geneeskundig gebruik behoeven of krachtens wettelijk voorschrift in voorraad moeten hebben en langs wettige weg hebben verkregen.

  3. Voorts kunnen, indien een noodtoestand als bedoeld in artikel 1, eerste lid, van de Coördinatiewet uitzonderingstoestanden is afgekondigd, bij koninklijk besluit, op voordracht van Onze Minister, andere instellingen of personen dan die, bedoeld in het eerste en tweede lid, worden aangewezen voor wie de verboden inzake het verstrekken, vervoeren of aanwezig hebben van middelen als bedoeld in lijst I of II, niet van toepassing zijn. Deze aanwijzing kan worden beperkt tot bepaalde gebieden en bepaalde middelen. Voorts kunnen aan de aanwijzing nadere voorschriften worden verbonden. De aanwijzing vervalt van rechtswege indien de noodtoestand wordt beëindigd, en kan voorts worden ingetrokken bij koninklijk besluit, op voordracht van Onze Minister.

  4. De verboden inzake het vervoeren of aanwezig hebben zijn bovendien niet van toepassing op hen die de middelen vervoeren of daartoe aanwezig hebben in opdracht van degene die tot zodanig vervoer bevoegd is.

Artikel 6

  1. Onze Minister kan, met inachtneming van artikel 8i, eerste lid, ontheffing verlenen van een verbod als bedoeld in de artikelen 2, 2a, eerste lid, of 3. Hij kan voorts een ontheffing verlengen, wijzigen, aanvullen of intrekken.

  2. Een ontheffing of een verlenging daarvan wordt verleend voor ten hoogste vijf jaren, met dien verstande dat een ontheffing van een verbod als bedoeld in artikel 2, onder A, of artikel 3, onder A, wordt verleend per geval en voor ten hoogste zes maanden.

  3. Onze Minister stelt de aanvrager van een ontheffing of van een verlenging daarvan binnen drie maanden na ontvangst van de aanvraag in kennis van zijn beslissing.

Artikel 6a

Onze Minister kan machtiging verlenen aan een bestuursorgaan tot afgifte op aanvraag van een schriftelijke verklaring inhoudende dat de aanvrager uitsluitend ten behoeve van zijn eigen geneeskundig gebruik een middel als bedoeld in lijst I of II mag vervoeren of aanwezig hebben.

Artikel 7

  1. Voor de behandeling van een aanvraag voor een ontheffing of een wijziging, aanvulling of verlenging daarvan, kan een vergoeding worden geheven. Voor de behandeling van een aanvraag voor een ontheffing als bedoeld in artikel 8i, tweede lid, is geen vergoeding verschuldigd.

  2. Voor een ontheffing kan jaarlijks een vergoeding worden geheven. Het eerste lid, tweede volzin, is van overeenkomstige toepassing met betrekking tot de jaarlijkse vergoeding.

  3. De hoogte van de vergoedingen, bedoeld in het eerste en tweede lid, wordt bij ministeriële regeling vastgesteld en kan per categorie van ontheffing verschillend worden vastgesteld. Indien een ontheffing voor een periode korter dan een jaar geldt, wordt de vergoeding, bedoeld in het tweede lid, naar evenredigheid op een lager bedrag vastgesteld.

Artikel 8

  1. Een ontheffing van een verbod als bedoeld in de artikelen 2 of 3 kan slechts worden verleend of verlengd indien de aanvrager ten genoegen van Onze Minister heeft aangetoond:

    1. dat daarmee het belang van de volksgezondheid of dat van de diergezondheid wordt gediend;

    2. deze nodig te hebben voor het verrichten van wetenschappelijk of analytisch-chemisch onderzoek dan wel voor instructieve doeleinden, voor zover het belang van de volksgezondheid zich hier niet tegen verzet, of

    3. deze nodig te hebben voor het verrichten van een handeling als bedoeld in artikel 2 of 3 krachtens een overeenkomst met:

      1. een ander aan wie krachtens artikel 6, eerste lid, een ontheffing is verleend;

      2. een apotheker of apotheekhoudende arts;

      3. een dierenarts;

      4. een instelling of persoon, aangewezen krachtens artikel 5, tweede of derde lid;

      5. een houder van een in een ander land verleende vergunning of ontheffing om de desbetreffende middelen in dat land in te voeren, voor zover het belang van de volksgezondheid zich hier niet tegen verzet;

    4. deze nodig hebben voor industriële doeleinden teneinde een product te realiseren dat voldoet aan de eisen gesteld bij of krachtens deze wet.

  2. Een ontheffing kan voorts worden verleend of verlengd indien de aanvrager deze nodig heeft voor het telen van cannabis krachtens een overeenkomst met Onze Minister.

  3. Een ontheffing van een verbod als bedoeld in artikel 2a, eerste lid, kan slechts worden verleend indien de aanvrager ten genoegen van Onze Minister heeft aangetoond:

    1. dat daarmee het belang van de volksgezondheid of dat van de diergezondheid wordt gediend;

    2. deze nodig te hebben voor het verrichten van wetenschappelijk of analytisch-chemisch onderzoek dan wel voor instructieve doeleinden, voor zover het belang van de volksgezondheid zich hier niet tegen verzet; of

    3. deze nodig te hebben voor het verrichten van een handeling als bedoeld in artikel 2a, eerste lid, krachtens een overeenkomst met:

      1. een ander aan wie krachtens artikel 6, eerste lid, een ontheffing is verleend;

      2. een ander die in een ander land is gevestigd en die gerechtigd is de middelen in dat land in te voeren, voor zover het belang van de volksgezondheid zich hier niet tegen verzet;

    4. deze nodig te hebben voor industriële doeleinden teneinde een product te realiseren dat voldoet aan de eisen gesteld bij of krachtens deze wet.

Artikel 8a

  1. Aan een ontheffing kunnen voorschriften worden verbonden om naleving van de bepalingen van het Enkelvoudig Verdrag en het Psychotrope Stoffen Verdrag en de bij of krachtens deze wet gestelde voorschriften te verzekeren, of om misbruik van een middel als bedoeld in lijst I of II of van een substantie die deel uitmaakt van een stofgroep als bedoeld in lijst IA of een preparaat daarvan te voorkomen.

  2. In de ontheffing wordt ten minste vermeld:

    1. voor welke van de verboden, als bedoeld in de artikelen 2, 2a, eerste lid, of 3 zij wordt verleend;

    2. voor welke doeleinden zij wordt verleend;

    3. op welk perceel of in welke lokaliteit de desbetreffende handelingen mogen plaatsvinden;

    4. de wijze van opslag;

    5. de wijze van beveiliging;

    6. de manier waarop de voorraadadministratie is ingericht.

Artikel 8b

Een ontheffing of een verlenging daarvan wordt geweigerd indien de aanvrager ingevolge een onherroepelijk geworden rechterlijke uitspraak onder curatele is gesteld dan wel zijn goederen onder bewind zijn gesteld.

Artikel 8c

  1. Een ontheffing of een verlenging daarvan kan worden geweigerd in het geval en onder de voorwaarden, bedoeld in artikel 3 van de Wet bevordering integriteitsbeoordelingen door het openbaar bestuur.

  2. Met het oog op toepassing van het eerste lid, kan het Bureau bevordering integriteitsbeoordelingen door het openbaar bestuur, bedoeld in artikel 8 van de in het eerste lid genoemde wet, om een advies als bedoeld in artikel 9 van die wet worden gevraagd.

Artikel 8d

Een ontheffing wordt ingetrokken:

  1. op aanvraag van de houder van de ontheffing;

  2. indien het belang van de volksgezondheid dit vordert;

  3. indien naar het oordeel van Onze Minister de doeleinden waarvoor de ontheffing is verleend niet meer gerealiseerd kunnen worden;

  4. indien een krachtens artikel 7, tweede lid, verschuldigde vergoeding niet binnen 30 dagen na heffing is voldaan en evenmin gevolg is gegeven aan de aanmaning van Onze Minister, gedaan na afloop van die termijn, om alsnog binnen acht dagen te betalen.

Artikel 8e

  1. Een ontheffing kan worden ingetrokken:

    1. indien de houder van de ontheffing handelt in strijd met een bij of krachtens deze wet gesteld voorschrift;

    2. in het geval en onder de voorwaarden, bedoeld in artikel 3 van de Wet bevordering integriteitsbeoordelingen door het openbaar bestuur.

  2. Met het oog op toepassing van het eerste lid, onder b, kan het Bureau bevordering integriteitsbeoordelingen, bedoeld in artikel 8 van de in het eerste lid, onder b, genoemde wet, om een advies als bedoeld in artikel 9 van die wet worden gevraagd.

Artikel 8f

  1. Degene wiens ontheffing wordt ingetrokken ontdoet zich van de middelen waarop de ontheffing betrekking heeft, gedurende het tijdvak, gelegen tussen de mededeling van de intrekking en de laatste dag waarop de ontheffing geldt. Hij ontdoet zich van die middelen hetzij door vernietiging, hetzij door overdracht aan personen, rechtspersonen daaronder begrepen, die bevoegd zijn tot het verrichten van handelingen als bedoeld in de artikelen 2, 2a, eerste lid, of 3.

  2. In afwijking van het eerste lid, ontdoet de houder van een ontheffing voor de teelt van hennep zich van de middelen waarop de ontheffing betrekking heeft, hetzij door vernietiging van die middelen, hetzij door overdracht daarvan aan Onze Minister.

Artikel 8g

Een ontheffing vervalt:

  1. door het overlijden van de houder;

  2. indien ingevolge een onherroepelijk geworden rechterlijke uitspraak de houder van de ontheffing onder curatele is gesteld dan wel zijn goederen onder bewind zijn gesteld;

  3. indien de rechtspersoon aan wie de ontheffing is verleend, wordt ontbonden, fuseert en niet de verkrijgende rechtspersoon is, of wordt gesplitst.

Artikel 8h

Onze Minister draagt ervoor zorg dat:

  1. in Nederland voldoende hennep wordt geteeld voor wetenschappelijk onderzoek naar de geneeskundige toepassing van hennep, hasjiesj en hennepolie of voor de productie van geneesmiddelen;

  2. de geteelde hennep, bedoeld onder a, wordt gebruikt voor een onder a genoemd doel.

Artikel 8i

  1. Onze Minister verleent niet meer ontheffingen van het verbod tot teelt van hennep dan nodig is voor de in artikel 8h bedoelde doeleinden en voor de veredeling van hennep.

  2. Een ontheffing van het verbod op het telen van hennep dan wel tot het verwerken, bewerken of vervoeren van hennep, hasjiesj en hennepolie voor de in artikel 8h genoemde doeleinden, wordt slechts verleend aan degene met wie Onze Minister ter zake een overeenkomst tot het verrichten van zodanige handelingen aangaat.

  3. Een overeenkomst als bedoeld in het tweede lid eindigt van rechtswege met ingang van de datum waarop de aan de wederpartij verleende ontheffing wordt ingetrokken of vervalt.

  4. In een overeenkomst als bedoeld in het tweede lid, wordt in elk geval bepaald dat de wederpartij van Onze Minister de geteelde hennep binnen vier maanden na het oogsten uitsluitend aan hem verkoopt en aflevert en de overtollige hennep vernietigt.

  5. Onze Minister is met uitsluiting van anderen bevoegd hennep, hasjiesj en hennepolie:

    1. binnen of buiten het grondgebied van Nederland te brengen;

    2. te verkopen en af te leveren;

    3. aanwezig te hebben, met uitzondering van de voorraden die worden beheerd door degenen die ontheffing hebben deze middelen te telen, te bewerken of te verwerken.

  6. Het vijfde lid is niet van toepassing voor zover toepassingen van hennep, hasjiesj of hennepolie krachtens artikel 3c, eerste lid, zijn aangewezen.

Artikel 8j

Met het toezicht op de naleving van het bepaalde bij of krachtens deze wet zijn belast de ambtenaren van de Inspectie gezondheidszorg en jeugd.

Artikel 8k

Met het opsporen van de in deze wet strafbaar gestelde feiten zijn, onverminderd artikel 141 en artikel 142, eerste lid, aanhef en onder a en b, van het Wetboek van Strafvordering, belast de ambtenaren, bedoeld in artikel 8j, en de ambtenaren van de rijksbelastingdienst, bevoegd inzake douane.

Artikel 9 (Inbeslagname- en fouilleringsbevoegdheid)

Bij: "Zij kunnen daartoe hun uitlevering vorderen."
Deze kan bij de opiumwet ook gericht aan de verdachte.
De opiumwet geeft NOOIT de bevoegdheid om plaatsen te doorzoeken, wel om ze te betreden. Daartoe dient terug te worden gestapt naar het Wetboek van Strafvordering.
Bij: "persoon"
Feitelijk dus een verdachte van een misdrijf uit deze wet tegen wie ook ernstige bezwaren bestaan, gelet op de rest van deze volzin.
  1. De opsporingsambtenaren, bedoeld in artikel 8k, hebben, voor zover dat redelijkerwijs voor de vervulling van hun taak nodig is, toegang:

    1. tot de vervoermiddelen, met inbegrip van woongedeelten, waarvan hun bekend is, of waarvan redelijkerwijze door hen kan worden vermoed, dat daarmede ingevoerd of vervoerd worden of dat daarin, daarop of daaraan bewaard worden of aanwezig zijn middelen als bedoeld in lijst I of II of substanties die deel uitmaken van een stofgroep als bedoeld in lijst IA of de preparaten daarvan, met uitzondering van de middelen bedoeld in artikel 2a, tweede lid;

    2. tot de plaatsen, waar een overtreding van deze wet gepleegd wordt of waar redelijkerwijze vermoed kan worden, dat zodanige overtreding gepleegd wordt.

  2. Zij zijn bevoegd een persoon, verdacht van een bij deze wet als misdrijf strafbaar gesteld feit, bij het bestaan van ernstige bezwaren tegen deze, aan de kleding te onderzoeken.

  3. Zij zijn te allen tijde bevoegd tot inbeslagneming van daarvoor vatbare voorwerpen. Zij kunnen daartoe hun uitlevering vorderen.

  4. De officier van justitie of de hulpofficier van justitie voor wie de verdachte wordt geleid of die zelf de verdachte heeft aangehouden is bevoegd een persoon die zojuist binnen het grondgebied van Nederland is binnengekomen of die op het punt staat dit grondgebied te verlaten, en die is aangehouden terzake van een bij deze wet als misdrijf strafbaar gesteld feit, een vordering te geven tot medewerking aan een urineonderzoek, gericht op het aantonen van de aanwezigheid in het lichaam van middelen als bedoeld in lijst I of II of substanties die deel uitmaken van een stofgroep als bedoeld in lijst IA of de preparaten daarvan, met uitzondering van de middelen bedoeld in artikel 2a, tweede lid.

  5. Onze Minister van Landbouw, Natuur en Voedselkwaliteit is bevoegd desgevraagd met gebruikmaking van de door landbouwers op grond van de artikelen 24 en 25 van de Landbouwwet verstrekte informatie over de toestand van de door hen beteelde percelen en de naam van het gewas waarmee het perceel zal worden beteeld, gegevens waaronder persoonsgegevens te verstrekken met betrekking tot hennepteelt welke is aangewezen krachtens artikel 3c aan de opsporingsambtenaren, bedoeld in de artikelen 141 en 142, eerste lid, aanhef en onder a en b, van het Wetboek van Strafvordering, ten behoeve van de opsporing van de bij of krachtens deze wet strafbaar gestelde feiten.

Artikel 9a

  1. In geval van verdenking van een misdrijf waarvoor een geldboete van de vierde categorie kan worden opgelegd, kunnen voorwerpen inbeslaggenomen worden die kunnen dienen tot bewaring van het recht tot verhaal voor een ter zake van dat misdrijf op te leggen maatregel als bedoeld in artikel 13d.

  2. Op inbeslagneming op grond van het eerste lid zijn de bepalingen uit het Wetboek van Strafvordering die betrekking hebben op inbeslagneming op grond van artikel 94a van dat wetboek, van overeenkomstige toepassing.

Artikel 9b

Onze Minister is bevoegd een bestuurlijke boete van ten hoogste € 33 500,– op te leggen ter zake van een gedraging die in strijd is met het bepaalde bij of krachtens artikel 3c, 4, eerste of tweede lid, of 5, eerste lid.

Artikel 10

  1. Hij die handelt in strijd met:

    1. een in artikel 2, het in artikel 3b, eerste lid, of een in artikel 4, derde lid, gegeven verbod;

    2. een krachtens artikel 3c, tweede lid, of artikel 4, eerste of tweede lid, gegeven voorschrift;

    3. een krachtens artikel 8a, eerste lid, aan een ontheffing verbonden voorschrift;

    wordt gestraft met hechtenis van ten hoogste zes maanden of geldboete van de vierde categorie.

  2. Hij die opzettelijk handelt in strijd met het in artikel 3b, eerste lid, of het in artikel 4, derde lid, gegeven verbod, wordt gestraft met gevangenisstraf van ten hoogste vier jaren of geldboete van de vijfde categorie.

  3. Hij die opzettelijk handelt in strijd met het in artikel 2 onder C, gegeven verbod wordt gestraft met gevangenisstraf van ten hoogste zes jaren of geldboete van de vijfde categorie.

  4. Hij die opzettelijk handelt in strijd met het in artikel 2 onder B of D, gegeven verbod, wordt gestraft met gevangenisstraf van ten hoogste acht jaren of geldboete van de vijfde categorie.

  5. Hij die opzettelijk handelt in strijd met een in artikel 2 onder A, gegeven verbod, wordt gestraft met gevangenisstraf van ten hoogste twaalf jaren of geldboete van de vijfde categorie.

  6. Indien het feit, bedoeld in het tweede, derde onderscheidenlijk vijfde lid, betrekking heeft op een geringe hoeveelheid, bestemd voor eigen gebruik, wordt gevangenisstraf van ten hoogste een jaar of geldboete van de derde categorie opgelegd.

Artikel 10a

  1. Hij die om een feit, bedoeld in het vierde of vijfde lid van artikel 10, voor te bereiden of te bevorderen:

    1. een ander tracht te bewegen om dat feit te plegen, te doen plegen, mede te plegen of uit te lokken, om daarbij behulpzaam te zijn of om daartoe gelegenheid, middelen of inlichtingen te verschaffen,

    2. zich of een ander gelegenheid, middelen of inlichtingen tot het plegen van dat feit tracht te verschaffen,

    3. voorwerpen, vervoermiddelen, stoffen, gelden of andere betaalmiddelen voorhanden heeft, waarvan hij weet of ernstige reden heeft om te vermoeden dat zij bestemd zijn tot het plegen van dat feit,

    wordt gestraft met gevangenisstraf van ten hoogste zes jaren of geldboete van de vijfde categorie.

  2. Niet strafbaar is hij die de in het eerste lid omschreven feiten begaat met betrekking tot het binnen of buiten het grondgebied van Nederland brengen van een geringe hoeveelheid, bestemd voor eigen gebruik.

Artikel 10b

  1. Hij die handelt in strijd met een in artikel 2a, eerste lid, gegeven verbod wordt gestraft met hechtenis van ten hoogste drie maanden of geldboete van de derde categorie.

  2. Hij die opzettelijk handelt in strijd met een in artikel 2a, eerste lid, gegeven verbod wordt gestraft met gevangenisstraf van ten hoogste zes jaren of geldboete van de vijfde categorie.

  3. Indien het opzettelijk handelen in strijd met het in de artikelen 2a, eerste lid, onderdelen A of C, en 3b, eerste lid, gegeven verbod betrekking heeft op een geringe hoeveelheid, bestemd voor eigen gebruik, wordt gevangenisstraf van ten hoogste zes maanden of geldboete van de derde categorie opgelegd.

Artikel 10c

  1. Hij die om het opzettelijk binnen of buiten het grondgebied van Nederland brengen, bereiden, bewerken, verwerken, verkopen, afleveren, verstrekken, vervoeren of vervaardigen van een substantie die deel uitmaakt van een stofgroep als bedoeld in de bij deze wet behorende lijst IA of een preparaat daarvan voor te bereiden of te bevorderen:

    1. een ander tracht te bewegen om dat feit te plegen, te doen plegen, mede te plegen of uit te lokken, om daarbij behulpzaam te zijn of om daartoe gelegenheid, middelen of inlichtingen te verschaffen,

    2. zich of een ander gelegenheid, middelen of inlichtingen tot het plegen van dat feit tracht te verschaffen,

    3. voorwerpen, vervoermiddelen, stoffen, gelden of andere betaalmiddelen voorhanden heeft, waarvan hij weet of ernstige reden heeft om te vermoeden dat zij bestemd zijn tot het plegen van dat feit, wordt gestraft met gevangenisstraf van ten hoogste drie jaren of geldboete van de vijfde categorie.

  2. Niet strafbaar is hij die de in het eerste lid omschreven feiten begaat met betrekking tot het binnen of buiten het grondgebied van Nederland brengen van een geringe hoeveelheid, bestemd voor eigen gebruik.

Artikel 11

  1. Hij die handelt in strijd met een in artikel 3 gegeven verbod, wordt gestraft met hechtenis van ten hoogste een maand of geldboete van de tweede categorie.

  2. Hij die opzettelijk handelt in strijd met een in artikel 3 onder B, C of D, gegeven verbod, wordt gestraft met gevangenisstraf van ten hoogste twee jaren of geldboete van de vijfde categorie.

  3. Hij die in de uitoefening van een beroep of bedrijf opzettelijk handelt in strijd met een in artikel 3, onder B, gegeven verbod, wordt gestraft met gevangenisstraf van ten hoogste zes jaren of geldboete van de vijfde categorie.

  4. Hij die opzettelijk handelt in strijd met een in artikel 3 onder A, gegeven verbod, wordt gestraft met gevangenisstraf van ten hoogste vier jaren of geldboete van de vijfde categorie.

  5. Indien een feit als bedoeld in het tweede of vierde lid, betrekking heeft op een grote hoeveelheid van een middel, wordt gevangenisstraf van ten hoogste zes jaren of geldboete van de vijfde categorie opgelegd. Onder grote hoeveelheid wordt verstaan een hoeveelheid die meer bedraagt dan de bij algemene maatregel van bestuur bepaalde hoeveelheid van een middel.

  6. Het tweede lid is niet van toepassing, indien het feit betrekking heeft op een hoeveelheid van hennep of hasjiesj van ten hoogste 30 gram.

  7. Het tweede en vierde lid zijn niet van toepassing, indien het feit betrekking heeft op een geringe hoeveelheid, bestemd voor eigen gebruik, van de in lijst II vermelde middelen, met uitzondering van hennep en hasjiesj.

Artikel 11a

Hij die stoffen of voorwerpen bereidt, bewerkt, verwerkt, te koop aanbiedt, verkoopt, aflevert, verstrekt, vervoert, vervaardigt of voorhanden heeft dan wel vervoermiddelen, ruimten, gelden of andere betaalmiddelen voorhanden heeft of gegevens voorhanden heeft, waarvan hij weet of ernstige reden heeft om te vermoeden dat zij bestemd zijn tot het plegen van een van de in artikel 11, derde en vijfde lid, strafbaar gestelde feiten, wordt gestraft met gevangenisstraf van ten hoogste drie jaar of geldboete van de vijfde categorie.

Artikel 11b

  1. Deelneming aan een organisatie die tot oogmerk heeft het plegen van een misdrijf als bedoeld in artikel 10, derde, vierde en vijfde lid, 10a, eerste lid, 10b, tweede lid, 10c, 11, derde, vierde en vijfde lid, of 11a, wordt gestraft met gevangenisstraf van ten hoogste acht jaren of geldboete van de vijfde categorie.

  2. Artikel 140, vierde en vijfde lid, van het Wetboek van Strafrecht is van overeenkomstige toepassing.

Artikel 12

Indien de waarde van de zaken waarmee of met betrekking tot welke de feiten, strafbaar gesteld in de artikelen 10, eerste tot en met vijfde lid, 10a eerste lid, 10b, 10c, 11, tweede tot en met vijfde lid, 11a en 11b zijn begaan, of die geheel of gedeeltelijk door middel van die feiten zijn verkregen, hoger is dan het vierde gedeelte van het maximum van de geldboete op die feiten gesteld, kan, ook indien het feit door een natuurlijke persoon is begaan, een geldboete van de naast hogere categorie worden opgelegd.

Artikel 13

  1. De in artikel 10, eerste lid, 10b, eerste lid, en artikel 11, eerste lid, strafbaar gestelde feiten zijn overtredingen.

  2. De in de artikelen 10, tweede tot en met zesde lid, 10a, eerste lid, 10b, tweede lid, 10c, 11, tweede tot en met vijfde lid, 11a en 11b strafbaar gestelde feiten zijn misdrijven.

  3. De Nederlandse strafwet is toepasselijk op ieder die zich buiten Nederland schuldig maakt aan:

    1. een der in artikel 10a, eerste lid, strafbaar gestelde feiten voorzover die zijn gepleegd om het in artikel 10, vijfde lid, strafbaar gestelde feit voor te bereiden of te bevorderen, dan wel

    2. poging tot of deelneming aan het in artikel 10, vijfde lid, strafbaar gestelde feit.

  4. De Nederlandse strafwet is toepasselijk op een der in artikel 10, tweede tot en met vijfde lid, artikel 10a eerste lid, 10b, tweede lid, 10c, artikel 11, tweede tot en met vierde lid, en artikel 11a strafbaar gestelde feiten, indien het feit is gepleegd aan boord van een buitenlands vaartuig dan wel een vaartuig zonder nationaliteit of een daarmee gelijk gesteld vaartuig uit hoofde van het internationale recht, op open zee, en wordt opgetreden in het kader van de toepassing van het Verdrag ter uitvoering van artikel 17 van het Verdrag tegen sluikhandel.

Artikel 13a

  1. Onverminderd het bepaalde in de artikelen 33 tot en met 34 en 36b tot en met 36d van het Wetboek van Strafrecht en artikel 6:1:12 van het Wetboek van Strafvordering worden de in lijst I of II bedoelde middelen of substanties die deel uitmaken van een stofgroep als bedoeld in lijst IA of de preparaten daarvan, met uitzondering van de middelen bedoeld in artikel 2a, tweede lid, verbeurd of aan het verkeer onttrokken verklaard.

  2. Ontzetting van de in artikel 28, eerste lid, onder 1°, 2° en 4°, van het Wetboek van Strafrecht, vermelde rechten kan worden uitgesproken bij veroordeling wegens een der in de artikelen 10, tweede tot en met vijfde lid,10a, eerste lid, 10b, tweede lid, 11, derde tot en met vijfde lid, en 11b, eerste lid, omschreven misdrijven en de schuldige kan worden ontzet van de uitoefening van het beroep waarin hij het misdrijf heeft gepleegd.

Artikel 13b

  1. De burgemeester is bevoegd tot oplegging van een last onder bestuursdwang indien in een woning of lokaal of op een daarbij behorend erf:

    1. een middel als bedoeld in lijst I of II dan wel aangewezen krachtens artikel 3a, vijfde lid, of een substantie die deel uitmaakt van een stofgroep als bedoeld in lijst IA of een preparaat daarvan, met uitzondering van de middelen bedoeld in artikel 2a, tweede lid, wordt verkocht, afgeleverd of verstrekt dan wel daartoe aanwezig is;

    2. een voorwerp of stof als bedoeld in artikel 10a, eerste lid, onder 3°, artikel 10c, eerste lid, onder 3°, of artikel 11a voorhanden is.

  2. Het eerste lid is niet van toepassing indien woningen, lokalen of erven als bedoeld in het eerste lid, gebruikt worden ter uitoefening van de artsenijbereidkunst, de geneeskunst, de tandheelkunst of de diergeneeskunde door onderscheidenlijk apothekers, artsen, tandartsen of dierenartsen.

Artikel 13d

  1. Op vordering van het openbaar ministerie kan de rechter bepalen dat aan degene die is veroordeeld wegens een feit strafbaar gesteld in de artikelen 10, 10a, eerste lid, 11, eerste tot en met vijfde lid, 11a of 11b, de verplichting wordt opgelegd tot het vergoeden van de kosten die ten laste van de staat komen in verband met de vernietiging van voorwerpen die ernstig gevaar opleveren voor de leefomgeving of voor de volksgezondheid en ten aanzien waarvan:

    1. de maatregel, bedoeld in artikel 36b, eerste lid, van het Wetboek van Strafrecht, wordt opgelegd;

    2. de maatregel, bedoeld in artikel 36b, eerste lid, van het Wetboek van Strafrecht, had kunnen worden opgelegd maar waarvan door de veroordeelde afstand is gedaan op de wijze, bedoeld in artikel 116, tweede lid, aanhef en onderdeel c, van het Wetboek van Strafvordering; of

    3. een machtiging tot vernietiging als bedoeld in artikel 117, eerste lid, van het Wetboek van Strafvordering, is verleend voor zover het voorwerpen betreft die van zodanige aard zijn dat het ongecontroleerde bezit daarvan in strijd is met de wet of het algemeen belang.

  2. De rechter kan het te betalen bedrag lager vaststellen dan de kosten, bedoeld in het eerste lid. Artikel 36e, vijfde lid, vijfde en zesde volzin, van het Wetboek van Strafrecht is van overeenkomstige toepassing.

  3. De tenuitvoerlegging van de maatregel, bedoeld in het eerste lid, geschiedt op de wijze van tenuitvoerlegging van de maatregel, bedoeld in artikel 36e van het Wetboek van Strafrecht.

Artikel 14

Deze wet kan worden aangehaald onder de titel "Opiumwet".

Artikel 15

Deze wet treedt in werking met ingang van een door Ons te bepalen dag.

Op dat tijdstip vervalt de wet van 4 oktober 1919, Stb. nr. 592, houdende vaststelling van bepalingen, betreffende het opium en andere verdovende middelen, zoals deze wet gewijzigd is bij de wet van 29 juni 1925, Stb. nr. 308.

Artikel bijlage-i

Lijst I

International Non-proprietary Name (INN) ¹

andere benamingen

nadere omschrijving

25B-NBOMe

2-(4-bromo-2,5-dimethoxyphenyl)-N-[(2-methoxyphenyl)methyl]ethaanamine

25C-NBOMe

2-(4-chloro-2,5-dimethoxyphenyl)-N-[(2-methoxyphenyl)methyl]ethaanamine

25I- NBOMe

4-jood-2,5-dimethoxy-N-(2-methoxybenzyl)fenethylamine

2-fluordeschloorketamine

2-(2-fluorfenyl)-2-(methylamino)cyclohexaan-1-on

2-methyl-AP-237

1-[2-methyl-4-(3-fenyl-2-propeen-1-yl)-1-piperazinyl]- butaan-1-on

3-CMC (3-chloormethcathinon, clofedron)

1-(3-chloorfenyl)-2-(methylamino)propaan-1-on

3-MMC (3-methylmethcathinon)

2-(methylamino)-1-(3-methylfenyl)propaan-1-on

4,4’-DMAR

4-methyl-5-(4-methylfenyl)-4,5-dihydrooxazol-2-amine

4-CMC (clefedron, 4-chloormethcathinon)

1-(4-chloorfenyl)-2-(methylamino)propaan-1-on

4-FA

4-fluoramfetamine

4F-MDMB-BICA, 4F-MDMB-BUTICA

methyl 2-{[1-(4-fluorobutyl)-1H-indol-3-carbonyl]amino}-3,3-dimethylbutanoaat

4F-MDMB-BINACA

methyl 2-{[1-(4-fluorbutyl)-1H-indazol-3-carbonyl]amino}-3,3-dimethylbutanoaat

4-MEC

4-methylethcathinon

5F-AMB-PINACA (5F-AMB, 5F-MMB-PINACA)

methyl 2-{[1-(5-fluorpentyl)-1H-indazol-3-carbonyl]amino}-3-methylbutanoaat

5F-APINACA

5F-AKB-48

5F-MDMB-PICA (5F-MDMB-2201)

methyl 2-{[1-(5-fluorpentyl)-1H-indol-3-carbonyl]amino}-3,3-dimethylbutanoaat

5F-MDMB-PINACA

methyl-2-[1-(5-fluorpentyl)-1H-indazol-3-carboxamido]-3,3-dimethylbutanoaat, 5F-ADB

5F-PB-22

5-IT

5-(2-aminopropyl)indool

AB-CHMINACA

AB-FUBINACA

N-[1-amino-3-methyl-1-oxobutaan-2-yl]-1-[(4-fluorfenyl)methyl]-1H-indazol-3-carboxamide

AB-PINACA

N-[1-amino-3-methyl-1-oxobutaan-2-yl]-1-pentyl-1H-indazol-3-carboxamide

acetorfine

acetyl-alfa-methylfentanyl

N-[1-(alfa-methylfenethyl)-4-piperidyl]-acetanilide

acetyldihydrocodeïne

4,5-epoxy-3-methoxy-N-methylmorfinan-6-yl-acetaat

acetylfentanyl

N-(1-Fenethylpiperidine-4-yl)-N-fenylacetamide

acetylmethadol

acryloylfentanil

acrylfentanyl

ADB-BUTINACA

N-[1-(aminocarbonyl)-2,2-dimethylpropyl]-1-butyl-1H-indazol-3-carboxamide

ADB-CHMINACA, MAB-CHMINACA

N-(1-amino-3,3-dimethyl-1-oxobutaan-2-yl)-1-(cyclohexylmethyl)-1H-indazol-3-carboxamide

ADB-FUBINACA

N-[1-amimo-3,3-dimethyl-1-oxobutaan-2-yl]-1-[(4-fluorfenyl)methyl]-1H inzadol-3-carboxamide

AH-7921

3,4-dichloor-N-[[1-(dimethylamino)cyclohexyl]methyl]benzamide

alfacetylmethadol

alfameprodine

alfamethadol

alfa-methylfentanyl

N-[1(alfa-methylfenethyl)-4-piperidyl]propionanilide

alfa-methylthiofentanyl

N-[1-[1-methyl-2-(2-thienyl)ethyl]-4-piperidyl]propionanilide

alfa-PHP

1-fenyl-2-(pyrrolidin-1-yl)hexaan-1-on

Alfa-PiHP

1-fenyl-4-methyl-2-(pyrrolidin-1-yl)pentaan-1-on

α-PVP

alfa-pyrrolidinevalerofenon

alfaprodine

alfentanil

allylprodine

AM-2201

[1-(5-Fluoropentyl)-1H-indol-3-yl](naphthaleen-1-yl)methanon

amfetamine

amineptine

7-[(10,11-dihydro-5H-dibenzo[a,d]cyclohepten-5-yl)amino]heptanoic acid

anileridine

benzethidine

benzylmorfine

3-benzoyloxy-4,5-epoxy-N-methyl-7-morfineen-6-ol

betacetylmethadol

beta-hydroxy-3-methylfentanyl

N-[1-(beta-hydroxyfenethyl)-3-methyl-4-piperidyl]propionanilide

beta-hydroxyfentanyl

N-[1-(beta-hydroxyfenethyl)-4-piperidyl]-propionanilide

betameprodine

betamethadol

betaprodine

bezitramide

bolkaf

alle delen van de plant Papaver somniferum L. na het oogsten, met uitzondering van het zaad

brolamfetamine

DOB

brorfine

1-{1-[1-(4-broomfenyl)ethyl]piperidine-4-yl}-1,3-dihydro-2H-benzimidazol-2-on

butonitazeen

butyrfentanyl

cathinon

carfentanil

2C-B

4-bromo-2,5-dimethoxyfenetylamine

2C-I

2,5-dimethoxy-4-iodofenethylamine

2C-T-2

2,5-dimethoxy-4-ethylthiofenethylamine

2C-T-7

2,5-dimethoxy-4-(n)-propylthiofenethylamine

clonitazeen

cocablad

bladeren van planten van het geslacht Erythroxylon

cocaïne

(-)-3-beta-benzoyloxytropaan-2-beta-carbonzure methylester

codeïne

4,5-epoxy-3-methoxy-N-methyl-7-morfineen-6-ol

codoxim

concentraat van bolkaf

het materiaal dat wordt verkregen door bolkaf te onderwerpen aan een behandeling ter concentratie van zijn alkaloïden

crotonylfentanyl

(2E)-N-fenyl-N-[1-(2-fenylethyl)piperidine-4-yl]but-2-eenamide

CUMYL-4CN-BINACA

1-(4-cyanobutyl)-N-(2-fenylpropaan-2-yl)-1H-indazol-3-carboxamide

CUMYL-PEGACLONE

5-pentyl-2-(2-fenylpropaan-2-yl)-2,5-dihydro-1H-pyrido[4,3-b]indol-1 on

cyclopropylfentanyl

N-fenyl-N-[1-(2-fenylethyl)piperidine-4-yl]cyclopropaancarboxamide

desomorfine

dexamfetamine

dextromoramide

dextropropoxyfeen

diampromide

diëthylthiambuteen

N,N-diëthyltryptamine, DET

3-[2-(diethylamino)ethyl]indol

difenidine

1-(1,2-difenylethyl)piperidine

difenoxine

difenoxylaat

dihydrocodeïne

dihydroethorfine

7,8-dihydro-7-alfa-[1-(R)-hydroxy- 1-methylbutyl]-6,14-endo-ethano-tetrahydro-oripavine

dihydromorfine

4,5-epoxy-N-methylmorfinan-3,6-diol

dimefeptanol

dimenoxadol

2,5-dimethoxyamfetamine, DMA

(±)-2,5-dimethoxy-alfa-methylfenethylamine

2,5-dimethoxy-4-ethylamfetamine, DOET

(±)-4-ethyl-2,5-dimethoxy-alfa-methylfenethylamine

2,5-dimethoxy-4-methamfetamine, STP, DOM

2,5-dimethoxy-alfa,4-dimethylfenethylamine

dimethylthiambuteen

N,N-dimethyltryptamine, DMT

3-[2-(dimethylamino)ethyl]indol

dioxafetylbutiraat

dipentylon (N,N-dimethylpentylon)

1-(2H-1,3-benzodioxol-5-yl)-2-(dimethylamino)pentaan-1-on

dipipanon

DMHP

3-(1,2-dimethylheptyl)-7,8,9,10-tetrahydro-6,6,9-trimethyl-6H-dibenzo[b,d]pyran-1-ol

DOC (4-chloor-2,5-dimethoxyamfetamine)

1-(4-chloor-2,5-dimethoxyfenyl)propaan-2-amine

drotebanol

ecgonine

3-hydroxy-2-tropaancarbonzuur

etazeen (etodesnitazeen)

2-[(4-ethoxyfenyl)methyl]-N,N-diethyl-1H-benzimidazol-1-ethaanamine

N-ethyl-3,4-methyleendioxy-amfetamine, N-ethyl-MDA

(±)-N-ethyl-alfa-methyl-3,4-(methyleen-dioxy)fenethylamine

N-ethylbutylon (eutylon)

1-(2H-1,3-benzodioxol-5-yl)-2-(ethylamino)butaan-1-on

N-ethylhexedron

2-(ethylamino)-1-fenylhexaan-1-on

ethylmethylthiambuteen

ethylmorfine

4,5-epoxy-3-ethoxy-N-methyl-7-morfineen-6-ol

N-Ethylnorpentylon, N-ethylpentylon (efylon)

1-(2H-1,3-benzodioxol-5-yl)-2-(ethylamino)pentaan-1-on

ethylon

ethylfenidaat

eticyclidine

etonitazeen

etonitazepipne (N-piperidino- etonitazeen)

2-[(4-ethoxyfenyl)methyl]-5-nitro-1-(2-piperidin-1-ylethyl)-1H-benzimidazol

etonitazepyn (N-pyrrolidino etonitazeen)

2-[(4-ethoxyfenyl)methyl]-5-nitro-1-(2-pyrrolidin-1-ylethyl)-1H-benzimidazol

etorfine

etoxeridine

etryptamine

fenadoxon

fenampromide

fenazocine

fencyclidine

fenetylline

fenmetrazine

fenomorfan

fenoperidine

fentanyl

N-(4-fluorofenyl)-N-(1-fenethylpiperidine-4-yl)isobutyramide

4-fluoroisobutyrfentanyl

4-FIBF, pFIBF

folcodine

FUB-AMB (MMB-FUBINACA, AMB-FUBINACA)

methyl 2-({1-[(4-fluorfenyl)methyl]-1H-indazol-3-carbonyl}amino)-3-methylbutanoaat

furanylfentanyl

furethidine

1-(2-tetrahydrofurfuryloxyethyl)-4-fenyl-piperidine-4-carbonzure ethylester

GHB

4-hydroxyboterzuur

hennepolie

concentraat van planten van het geslacht Cannabis (hennep) verkregen door extractie van hennep of hasjiesj, al dan niet vermengd met olie

heroïne, diamorfine

4,5-epoxy-17-methylmorfinan-3,6-diyl-diacetaat

HHC (hexahydrocannabinol)

6a,7,8,9,10,10a-hexahydro-6,6,9-trimethyl-3-pentyl-6H-dibenzo[b,d]pyran-1-ol

hydrocodon

hydromorfinol

hydromorfon

N-hydroxymethyleen-dioxy-amfetamine, N-hydroxyMDA

(±)-N-[alfa-methyl-3,4-(methyleendioxy)-fenethyl]hydroxylamine

hydroxypethidine

isomethadon

isotonitazeen

N,N-diethyl-2-[[4-(1-methylethoxy)fenyl]methyl]-5-nitro-1H-benzimidazol-1-ethaanamine

JWH-018

naphthaleen-1-yl(1-pentyl-1H-indol-3-yl)methanon

ketobemidon

levamfetamine

levofenacylmorfan

levomethamfetamine

(-)-N,alfa-dimethylfenethylamine

levomethorfan

levomoramide

levorfanol

lysergide

LSD

MDMB-4en-PINACA

methyl 3,3-dimethyl-2-{[1-(pent-4-een-1-yl)-1H-indazol-3-carbonyl]amino}butanoaat

MDMB-CHMICA

MDPV

3,4-methyleendioxypyrovaleron

mecloqualon

mefedron (4-MMC, 4-methylmethcathinon)

4-methylmethcathinon

mescaline

3,4,5-trimethoxyfenethylamine

metamfetamine

metamfetamine racemaat

metazocine

methadon

methadon-tussenproduct

4-cyano-2-dimethylamino-4,4-difenylbutaan

methaqualon

methcathinon

(2-methylamino)-1-fenylpropaan-1-on

2-methoxy-4,5-methyleendioxyamfetamine, MMDA

2-methoxy-alfa-methyl-4,5-(methyleendioxy)- fenethylamine

3-methoxyfencyclidine

1-(1-(3-methoxyfenyl)cyclohexyl)piperidine

4-methylamfetamine, 4-MA

4-methylaminorex

(±)-cis-2-amino-4-methyl-5-fenyl-2-oxazoline

methoxetamine

2-(3-methoxyfenyl)-2-(ethylamino)cyclohexanon

methoxyacetylfentanyl

2-methoxy-N-fenyl-N-[1-(2-fenylethyl)piperidine-4-yl]acetamide

methyldesorfine

methyldihydromorfine

3,4-methyleendioxymethamfetamine, MDMA

(±)-N,alfa-dimethyl-3,4-(methyleendioxy)-fenethylamine

methylfenidaat

3-methylfentanyl

N-(3-methyl-1-fenethyl-4-piperidyl)propionanilide

MPPP

1-methyl-4-fenyl-4-piperidinol propionaat (ester)

4-methylthioamfetamine, 4-MTA

4-methylthio-alfa-methylfenethylamine

3-methylthiofentanyl

N-[3-methyl-1-[2-(2-thienyl)ethyl]-4-piperidyl]propionanilide

methylon

(RS)- 2-methylamino-1-(3,4-methylenedioxyphenyl)propaan-1-on

metonitazeen

N,N-diethyl-2-[(4-methoxyfenyl)methyl]-5-nitro-1H-benzimidazol-1-ethaanamine)

metonitazepyne (N-pyrrolidino-metonitazeen)

2-[(4-methoxyfenyl)methyl]-5-nitro-1-(2-pyrrolidin-1-ylethyl)-1H-benzimidazol

metopon

moramide-tussenproduct

2-methyl-3-morfolino-1,1-difenylpropaan-carbonzuur

morferidine

morfine

4,5-epoxy-N-methyl-7-morfineen-3,6-diol

morfine-methobromide

4,5-epoxy-N-methyl-7-morfineen-3,6-diol methylbromide

morfine-N-oxide

4,5-epoxy-3,6-dihydroxy-N-methyl-7-morfine

methiopropamine

MPA

MT-45

1-cyclohexyl-4-(1,2-difenylethyl)piperazine

myrofine

nicocodine

nicodicodine

nicomorfine

noracymethadol

norcodeïne

norisotonitazeen (N-desethyl isotonitazeen)

N-ethyl-2-[(4-(1-methylethoxy)fenyl]methyl]-5-nitro-1H-benzimidazol-1-ethaanamine

norlevorfanol

normethadon

normorfine

norpipanon

ocfentanil

opium

het gestremde melksap, verkregen van de plant Papaver somniferum L.

oripavine

3-O-demethylthebaine

6,7,8,14-tetradehydro-4,5-alpha-epoxy-6-methoxy-17-methylmorphinan-3-ol

orthofluorfentanyl

2-fluorfentanyl

N-(2-fluorfenyl)-N-[1-(2-fenylethyl)piperidine-4-yl]propaanamide

oxycodon

oxymorfon

parafluorbutyrylfentanyl

N-(4-fluorfenyl)-N-[1-(2-fenylethyl)piperidine-4-yl]butaanamide

para-fluorfentanyl

4'-fluoro-N-(1-fenethyl-4-piperidyl)propionanilide

parahexyl

3-hexyl-7,8,9,10-tetrahydro-6,6,9-trimethyl-6H- dibenzo[b,d]pyran-1-ol

para-methoxyamfetamine, PMA

p-methoxy-alfa-methylfenethylamine

para-methoxymethamfetamine, PMMA

N-methyl-1-(4-methoxyfenyl)-2-aminopropaan

pentedron

PEPAP

1-fenethyl-4-fenyl-4-piperidinolacetaat (ester)

pethidine

pethidine-tussenproduct A

4-cyano-1-methyl-4-phenylpiperidine

pethidine-tussenproduct B

4-fenylpiperidine-4-carbonzure ethylester

pethidine-tussenproduct C

1-methyl-4-fenylpiperidine-4-carbonzuur

piminodine

piritramide

proheptazine

properidine

propiram

protonitazeen

N,N-diethyl-5-nitro-2-[(4-propoxyfenyl)methyl]-1H-benzimidazol-1-ethaanamine

protonitazepyne (N-pyrrolidino-protonitazeen)

2-[(4-Propoxyfenyl)methyl]-5-nitro-1-(2-pyrrolidin-1-ylethyl)-1H-benzimidazol

psilocine

3-[2-(dimethylamino)ethyl]indol-4-ol

psilocybine

racemethorfan

racemoramide

racemorfan

remifentanil

rolicyclidine

secobarbital

sufentanil

tapentadol

tenamfetamine

tenocyclidine

tetrahydrocannabinol

(6aR,10aR)-6a,7,8,10a-tetrahydro-6,6,9-trimethyl-3-pentyl-6H-dibenzo[b,d]pyran-1-ol

tetrahydrofuranylfentanyl

N-fenyl-N-(1-(2-fenylethyl)piperidine-4-yl))

tetrahydrofuraan-2-carboxamide, THF-F

thebacon

thebaïne

4,5-epoxy-3,6-dimethoxy-N-methyl-6,8-morfine

thiofentanyl

N-[1-[2-(2-thienyl)ethyl]-4-piperidyl]propionanilide

tilidine

TMA-2

2,4,5-trimethoxyamfetamine

trimeperidine

3,4,5-trimethoxyamfetamine, TMA

(±)-3,4,5-trimethoxy-alfa-methylfenethylamine

U-47700

UR-144

valerylfentanyl

N-fenyl-N-[1-(2-fenylethyl)piperidine-4-yl]pentaanamide

XLR-11

zipeprol

¹ De door de Wereldgezondheidsorganisatie vastgestelde generieke benaming.

de esters en derivaten van ecgonine, die kunnen worden omgezet in ecgonine en cocaïne;

de mono- en di-alkylamide-, de pyrrolidine- en morfolinederivaten van lyserginezuur, en de daarvan door invoering van methyl-, acetyl- of halogeengroepen verkregen middelen;

vijfwaardige stikstof-gesubstitueerde morfinederivaten, waaronder begrepen morfine-N-oxide-derivaten, zoals codeïne-N-oxide;

de isomeren en stereoisomeren van tetrahydrocannabinol;

de ethers, esters en enantiomeren van de bovengenoemde substanties, met uitzondering van dextromethorfan (INN) als enantiomeer van levomethorfan en racemethorfan, en met uitzondering van dextrorfanol (INN) als enantiomeer van levorfanol en racemorfan;

preparaten die één of meer van de bovengenoemde substanties bevatten.

Artikel bijlage-ia

Lijst Ia

Stofgroep: Substanties die zijn afgeleid van 2-fenethylamine

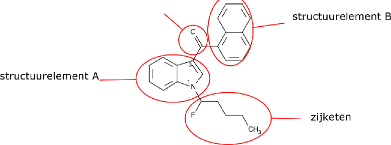
Een substantie afgeleid van 2-fenethylamine is elke chemische substantie die afgeleid kan worden uit de basisstructuur van 2-fenylethaan-1-amine en die overeenkomt met de modulaire opbouw van structuurelement A en structuurelement B, zo als hieronder weergegeven, met uitzondering van 2-fenethylamine zelf en aspartaam en penconazool.

Bijlage 272866Figuur 1

Dit omvat eveneens chemische substanties die de basisstructuur van cathinon (2-amino-1-fenyl-1-propanon) hebben:

Bijlage 272867Figuur 2

Structuurelement A

Voor structuurelement A zijn de volgende ringsystemen opgenomen, waarbij structuurelement B op elke positie van structuurelement A kan zitten:

fenyl-, naftyl-, tetralinyl-, methyleendioxyfenyl-, ethyleendioxyfenyl-, furyl-, pyrrolyl-, thiënyl-, pyridyl-, benzofuranyl-, dihydrobenzofuranyl-, indanyl-, indenyl-, tetrahydrobenzodifuranyl-, benzodifuranyl-, tetrahydrobenzodipyranyl-, cyclopentyl-, cyclohexyl-

Bijlage 272869

Deze ringsystemen kunnen op elke positie gesubstitueerd zijn met de volgende atomen of atoomgroepen (Rn):

waterstof, fluor, chloor, broom, jood, alkyl- (tot en met C6), alkenyl- (tot en met C6), alkinyl- (tot en met C6), alkoxy- (tot en met C6), carboxy-, alkylsulfanyl- (tot en met C6) en nitro-groepen.

De boven beschreven atoomgroepen kunnen ook nog gesubstitueerd zijn met elke chemisch mogelijke combinatie van koolstof, waterstof, stikstof, zuurstof, zwavel, fluor, chloor, broom of jood. De op deze wijze verkregen substituenten kunnen een ononderbroken keten hebben van niet meer dan 8 atomen (de waterstofatomen niet meegerekend). Atomen uit de ringstructuur tellen niet mee.

Structuurelement B

De 2-amino-ethyl zijketen van structuurelement B kan gesubstitueerd worden met de volgende atomen, atoomgroepen of ringsystemen:

  1. R1 en R2 aan het stikstofatoom: waterstof, alkyl- (tot en met C6), cycloalkyl- (tot en met C6), benzyl-, alkenyl- (tot en met C6), alkylcarbonyl- (tot en met C6), hydroxy- en amino- groepen. Ook substanties waarbij het stikstofatoom een integraal onderdeel uitmaakt van een ringsysteem vallen onder de definitie (bijvoorbeeld, pyrrolidinyl-, piperidinyl-). Een ringsluiting waarbij het stikstofatoom deel uitmaakt van structuurelement B is ook mogelijk. Substanties waarbij het stikstofatoom direct geïntegreerd is in een ringsysteem dat gefuseerd is met structuurelement A vallen niet onder de stofgroep van substanties afgeleid van 2-fenethylamine. De substituenten R1 en R2 kunnen ook nog gesubstitueerd zijn met elke chemisch mogelijke combinatie van koolstof, waterstof, stikstof, zuurstof, zwavel, fluor, chloor, broom of jood. De op deze wijze verkregen substituenten kunnen een ononderbroken keten hebben van niet meer dan 6 atomen (de waterstofatomen niet meegerekend). Atomen uit de ringstructuur tellen niet mee.

  2. R3 en R4 op het C1 atoom en R5 en R6 op het C2 atoom: waterstof, fluor, chloor, broom, jood, alkyl- (tot en met C10), cycloalkyl- (tot en met C10), benzyl-, fenyl-, alkenyl- (tot en met C10), alkinyl- (tot en met C10), hydroxy-, alkoxy- (tot en met C10), alkylsulfanyl- (tot en met C10), alkyloxycarbonyl- groepen (tot en met C10), waaronder begrepen chemische substanties waarvan een substitutie kan leiden tot een ringsluiting met structuurelement A. De boven beschreven atoomgroepen en ringstructuren kunnen ook nog gesubstitueerd zijn met elke chemisch mogelijke combinatie van koolstof, waterstof, stikstof, zuurstof, zwavel, fluor, chloor, broom of jood. De op deze wijze verkregen substituenten kunnen een ononderbroken keten hebben van niet meer dan 10 atomen (de waterstofatomen niet meegerekend). Atomen uit de ringstructuur tellen niet mee.

  3. Een carbonyl groep op de betapositie ten opzichte van het stikstofatoom (ook bekend als beta-keto afgeleiden, zie figuur 2 met de basisstructuur van cathinon onder punt 1: waarbij R5 en R6 aan het C2 atoom vervangen zijn door een carbonyl groep (C=O)).

Stofgroep: Cannabimimetica / Synthetische cannabinoïden

Een cannabimimeticum of synthetisch cannabinoid is elke chemische verbinding die overeenkomt met de volgende modulaire opbouw:

  1. een structuurelement A, dat op een gedefinieerde positie verbonden is met

  2. een brug

  3. aan een structuurelement B

  4. en een zijketen heeft op een gedefinieerde positie.

Figuur 3 geeft de modulaire opbouw van 1-fluor-JWH-018 weer.

Bijlage 272870Figuur 3

1-fluor-JWH-018 heeft als structuurelement A indol-1,3-diyl, als brug een carbonylgroep op de 3 positie, als structuurelement B een 1-naftyl groep en als zijketen een 1-fluorpentyl groep op de 1 positie.

Structuurelement A, brug, structuurelement B en zijketen zijn als volgt gedefinieerd:

Structuurelement A

Structuurelement A omvat de ringsystemen a tot en met e zo als hieronder beschreven.

Deze ringsystemen kunnen op de posities 5, 6 en 7 gesubstitueerd zijn met de volgende atomen of atoomgroepen: waterstof, fluor, chloor, broom, jood, methyl-, methoxy- en nitro- groepen.

Deze substituenten worden in de figuren a tot en met e aangeduid als R1, R2 en R3. De kronkellijn geeft de bindingsplaats voor de brug aan en de stippellijn geeft de bindingsplaats voor de zijketen aan.

a) Indol-1,3-diyl

(bindingsplaats voor de brug op positie 3, bindingsplaats voor de zijketen op positie 1)

Bijlage 272871

b) 2-methylindol-1,3-diyl

(bindingsplaats voor de brug op positie 3, bindingsplaats voor de zijketen op positie 1)

Bijlage 272872

c) Indazol-1,3-diyl

(bindingsplaats voor de brug op positie 3, bindingsplaats voor de zijketen op positie 1)

Bijlage 272873

d) Benzimidazol-1,2-diyl-isomeer I

(bindingsplaats voor de brug op positie 2, bindingsplaats voor de zijketen op positie 1)

Bijlage 272874

e) Benzimidazol-1,2-diyl-isomeer II

(bindingsplaats voor de brug op positie 1, bindingsplaats voor de zijketen op positie 2)

Bijlage 272875

Brug

De brug kan uit de volgende molecuulgroepen bestaan die via de bindingsplaats aan structuurelement A onder 2.1 verbonden zijn:

  1. carbonyl- en azacarbonyl groepen;

  2. carboxamide groep (de carbonylgroep zit vast aan structuurelement A);

  3. carboxylgroep (de carbonyl groep zit vast aan structuurelement A); en

  4. een heterocyclische ringstructuur van maximaal 5 atomen die direct aan de bindingsplaats van structuurelement A verbonden is.

Structuurelement B

Structuurelement B kan bestaan uit elke chemisch mogelijke combinatie van koolstof, waterstof, stikstof, zuurstof, zwavel, fluor, chloor, broom of jood met een maximum molecuulgewicht van 400 u en kan de volgende molecuulgroepen bevatten:

  1. Elke gesubstitueerde verzadigde, onverzadigde of aromatische ringstructuur, waaronder polycyclische en heterocyclische ringstructuren, waarbij het ook mogelijk is dat deze via een substituent aan de brug gekoppeld zijn;

  2. elke mogelijke gesubstitueerde ketengroep met een continue keten van niet meer dan 12 atomen (de waterstofatomen niet meegerekend).

Zijketen

De zijketen omvat de volgende molecuulgroepen die aan structuurelement A vast zitten zoals beschreven onder 2.1:

  1. verzadigde en mono-onverzadigde, vertakte en niet-vertakte koolwaterstofketens, die ook zuurstof en/of zwavelatomen in de keten kunnen bevatten. Deze ketens kunnen ook fluor, chloor, broom, jood, trifluormethyl en/of cyano-substituenten bevatten.

Ook substituenten die zuurstof en/of zwavel bevatten met een continue keten, waaronder hetero-atomen, van 3 tot 7 atomen (de waterstofatomen niet meegerekend) horen hier toe.

  1. verzadigde, onverzadigde en aromatische ringstructuren, of direct verbonden of via een methyleen-, ethyleen- of 2-oxoethyleengoep gekoppeld, waaronder heterocyclische ringstructuren. Alsmede afgeleide verbindingen die fluor, chloor, broom, jood, trifluormethyl, methoxy of cyano substituenten aan de ring hebben zitten. En tevens de afgeleide verbindingen waar de ringstikstof een methyl- of ethylgroep heeft.

Stofgroep: substanties afgeleid van 4-aminopiperidine

Een substantie afgeleid van 4-aminopiperidine is elke chemische substantie die afgeleid kan worden uit de basisstructuur van 4-aminopiperidine, zie figuur 4.

Bijlage 272876Figuur 4

1.

Hierbij gelden de volgende voorwaarden:

R1 is een alkylgroep, die op elke positie gesubstitueerd kan zijn met de volgende atomen of atoomgroepen: fluor, chloor, broom, jood, hydroxy, aryl, alkoxy, alkoxycarbonyl of heterocyclische ringstructuur.

R2 is een aryl-, arylalkyl- of cycloalkylgroep of een heterocyclische ringstructuur. Ook kan deze op elke positie gesubstitueerd zijn met de volgende atomen of atoomgroepen: fluor, chloor, broom, jood, hydroxy, alkyl, alkoxy.

R3 is een carbonylgroep gesubstitueerd met een (cyclo)alkyl-, (cyclo)alkenyl-, aryl-, methoxymethyl-, ethoxygroep of heterocyclische ringstructuur.

Daarnaast kan de piperidinering op elke positie gesubstitueerd zijn met de volgende atomen of atoomgroepen (Rn): fluor, chloor, broom, jood, hydroxy, alkyl, aryl, alkoxy, alkoxycarbonyl of heterocyclische ringstructuur.

Preparaten die één of meer substanties van de bovengenoemde stofgroepen bevatten.

Artikel bijlage-ii

Lijst II

International Non-proprietary Name (INN)

andere benamingen

nadere omschrijving

allobarbital

alprazolam

amobarbital

amfepramon

aminorex

barbital

benzfetamine

bromazepam

bromazolam

brotizolam

2-bromo-4-(o-chlorofenyl)-9-

methyl-6H-thieno(3,2-f) -s-

triazolo(4,3-a)(1,4)diazepine.

buprenorfine

butalbital

butobarbital

bzp

1-benzylpiperazine

1-benzyl-1,4-diazacyclohexaan

camazepam

carisoprodol

cathine

chlordiazepoxide

clobazam

clonazepam

clonazolam

clorazepaat

clotiazepam

cloxazolam

cyclobarbital

delorazepam

diazepam

distikstofmonoxide, lachgas

N2O

diclazepam

estazolam

ethchlorvynol

ethinamaat

ethylloflazepaat

ethylamfetamine

etizolam

fencamfamine

fendimetrazine

fenobarbital

fenproporex

fentermine

flualprazolam

flubromazolam

fludiazepam

flunitrazepam

flurazepam

gluthethimide

halazepam

haloxazolam

hasjiesj

een gebruikelijk vast mengsel van de afgescheiden hars verkregen van planten van het geslacht Cannabis (hennep), met plantaardige elementen van deze planten

hennep

elk deel van de plant van het geslacht Cannabis (hennep), waaraan de hars niet is onttrokken, met uitzondering van de zaden

ketazolam

lefetamine

loprazolam

lorazepam

lormetazepam

mazindol

medazepam

mefenorex

meprobamaat

mesocarb

methylfenobarbital

methyprylon

midazolam

nimetazepam

nitrazepam

nordazepam

oxazepam

oxazolam

pemoline

pentazocine

pentobarbital

fenazepam

7-Bromo-5-(2-chlorofenyl)-1,3-dihydro-2H-1,4-benzodiazepin-2-on

pinazepam

pipradrol

prazepam

pyrovaleron

Qat

de bladeren en takjes van de plant Catha Edulis Forsk

secbutabarbital

temazepam

tetrazepam

triazolam

vinylbital

zolpidem

Paddo’s

A: paddenstoelen die van nature de stof psilocine of psilocybine bevatten:

agrocybe farinacea

conocybe cyanopus

blauwvoetbreeksteeltje

conocybe kuehneriana

grasbreeksteeltje

conocybe siligineoides

conocybe smithii

copelandia affinis

copelandia anomala

copelandia bispora

copelandia cambodginiensis

copelandia chlorocystis

copelandia cyanescens

copelandia lentisporus

copelandia mexicana

copelandia tirunelveliensis

copelandia tropica

copelandia tropicalis

copelandia westii

galerina steglichii

gerronema fibula

gerronema solidipes

gymnopilus aeruginosus

gymnopilus braendlei

gymnopilus intermedius

gymnopilus lateritius

gymnopilus liquiritiae

gymnopilus luteofolius

gymnopilus luteoviridis

gymnopilus luteus

gymnopilus purpuratus

gymnopilus sapineus

dennevlamhoed

gymnopilus spectabilis

gymnopilus subpurpuratus

gymnopilus validipes

gymnopilus viridans

hypholoma gigaspora

hypholoma guzmanii

hypholoma naematoliformis

hypholoma neocaledonica

hypholoma popperianum

hypholoma rhombispora

inocybe aeruginascens

groenverkleurende vezelkop

inocybe coelestium

inocybe corydalina corydalina

groenige perevezelkop

inocybe corydalina erinaceomorpha

schubbige perevezelkop

inocybe haemacta

blozende stinkvezelkop

inocybe tricolor

mycena cyanorrhiza

blauwvoetmycena

panaeolina foenisecii

gazonvlekplaat

panaeolina rhombisperma

panaeolina sagarae

panaeolina microsperma

panaeolus africanus

panaeolus ater

zwartbruine vlekplaat

panaeolus castaneifolius

panaeolus fimicola

grauwe vlekplaat

panaeolus microsporus

panaeolus moellerianus

panaeolus olivaceus

panaeolus papilionaceus

witte vlekplaat

panaeolus retirugis

geaderde vlekplaat

panaeolus rubricaulis

panaeolus sphinctrinus

franjevlekplaat

panaeolus subbalteatus

gezoneerde vlekplaat

panaeolus venezolanus

pluteus atricapillus

pluteus cyanopus

blauwvoethertezwam

pluteus glaucus

pluteus nigriviridis

pluteus salicinus

grauwgroene hertezwam

pluteus villosus

psilocybe acutipilea

psilocybe angustipleurocystidiata

psilocybe antioquensis

psilocybe aquamarina

psilocybe argentipes

psilocybe armandii

psilocybe aucklandii

psilocybe australiana

psilocybe aztecorum

psilocybe aztecorum bonetii

psilocybe azurescens

psilocybe baeocystis

psilocybe banderiliensis

psilocybe barrerae

psilocybe bohemica

psilocybe brasiliensis

psilocybe brunneocystidiata

psilocybe caeruleoannulata

psilocybe caerulescens

psilocybe caerulescens ombrophila

psilocybe caerulipes

psilocybe carbonaria

psilocybe chiapanensis

psilocybe collybioides

psilocybe columbiana

psilocybe coprinifacies

psilocybe cordispora

psilocybe cubensis

psilocybe cyanescens

psilocybe cyanofibrillosa

psilocybe dumontii

psilocybe eucalypta

psilocybe fagicola

psilocybe fagicola mesocystidiata

psilocybe farinacea

psilocybe fimetaria

psilocybe fuliginosa

psilocybe furtadoana

psilocybe galindoi

psilocybe goniospora

psilocybe graveolens

psilocybe guatapensis

psilocybe guilartensis

psilocybe heimii

psilocybe heliconiae

psilocybe herrerae

psilocybe hispanica

psilocybe hoogshagenii hoogshagenii

psilocybe hoogshagenii convexa

psilocybe inconspicua

psilocybe indica

psilocybe isabelae

psilocybe jacobsii

psilocybe jaliscana

psilocybe kumaenorum

psilocybe laurae

psilocybe lazoi

psilocybe liniformans

psilocybe liniformans americana

psilocybe mairei

psilocybe makarorae

psilocybe mammillata

psilocybe meridensis

psilocybe mexicana

psilocybe moseri

psilocybe muliercula

psilocybe natalensis

psilocybe natarajanii

psilocybe ochreata

psilocybe papuana

psilocybe paulensis

psilocybe pelliculosa

psilocybe pericystis

psilocybe pintonii

psilocybe pleurocystidiosa

psilocybe plutonia

psilocybe portoricensis

psilocybe pseudoaztecorum

psilocybe puberula

psilocybe quebecensis

psilocybe ramulosa

psilocybe rostrata

psilocybe rzedowskii

psilocybe samuiensis

psilocybe sanctorum

psilocybe schultesii

psilocybe semilanceata

puntig kaalkopje

psilocybe septentrionalis

psilocybe serbica

psilocybe sierrae

psilocybe silvatica

psilocybe singerii

psilocybe strictipes

psilocybe stuntzii

psilocybe subacutipilea

psilocybe subaeruginascens

psilocybe subaeruginosa

psilocybe subcaerulipes

psilocybe subcubensis

psilocybe subtropicalis

psilocybe subyungensis

psilocybe subzapotecorum

psilocybe tampanensis

psilocybe tasmaniana

psilocybe uruguayensis

psilocybe uxpanapensis

psilocybe venenata

psilocybe veraecrucis

psilocybe villarrealii

psilocybe wassoniorum

psilocybe weilii

psilocybe weldenii

psilocybe wrightii

psilocybe xalapensis

psilocybe yungensis

psilocybe zapotecorum

B: paddenstoelen die van nature muscimol en iboteenzuur bevatten:

amanita muscaria muscaria

vliegenzwam

amanita pantherina

panteramaniet

Preparaten die één of meer van de bovengenoemde substanties bevatten, met uitzondering van hennepolie.

← terug naar wetten